中国黄色一级片,91精品久久久久久久久不口人,张筱雨大胆粉嫩私苞艺术,欧美日本精品

臭氧實驗裝置一站式服務平臺
當前位置: 主頁 > 新聞動態 > 臭氧知識 > Nat. Chem.:臭氧參與的烯烴雙羥基化反應

Nat. Chem.:臭氧參與的烯烴雙羥基化反應

來源:www.karehanafitness.com 發布時間:2024-01-17 09:38:31 瀏覽次數:

Nat. Chem.:臭氧參與的烯烴雙羥基化反應
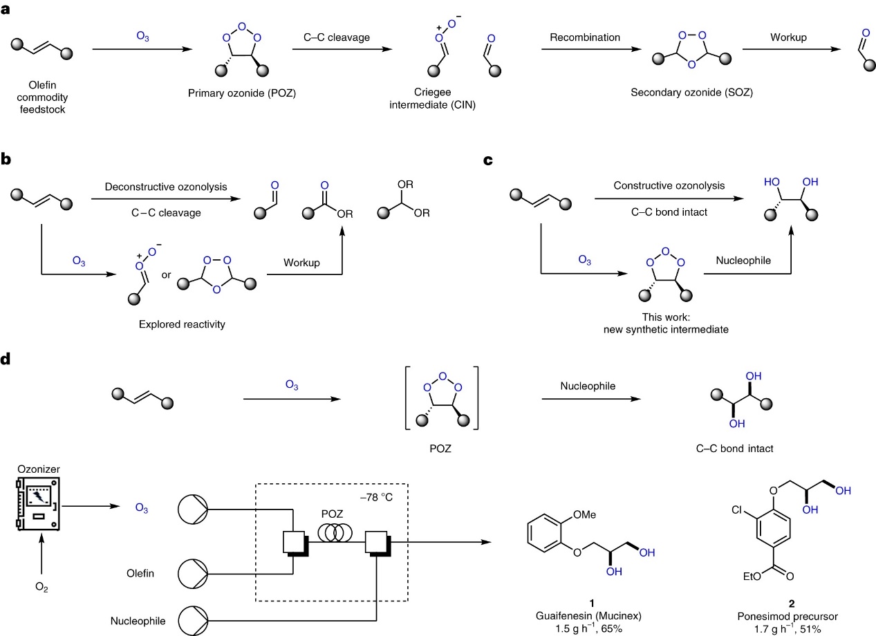
        臭氧(O3)與我們關系匪淺。平流層中,它可以吸收紫外線,起到保護人類和其他生物的作用;日常生活中,它常常用于殺菌消毒,或者除臭除味;反應器中,它又是好用的強氧化劑,廣泛應用于活性藥物合成及精細化工行業。對于有機化學研究者來說,O3主要用于臭氧分解(Ozonolysis)反應,可將石油原料中的烯烴有效轉化為各種羰基化合物及其前體(圖1a)。如圖1b所示,Schreiber等人在C-C鍵裂解后使用添加劑進一步擴展了臭氧分解反應的應用范圍,從而實現縮醛和酯類的合成以及烯烴的精制。如今,臭氧分解反應的應用范圍十分廣泛,其中幾乎全部會涉及烯烴雙鍵的斷裂,但換一個思路,如果O3可“破”也可“立”,可斷裂化學鍵也可構建化學鍵,就有望開辟化學反應性的新領域并增加合成方法中的分子復雜性。而且,利用O3作為反應試劑來實現烯烴中碳的氧化而非斷裂碳碳雙鍵,對于綠色、可持續化學來說更有意義,因為這個過程僅需要臭氧和電能就可實現(圖1c)。此外,烯烴經歷臭氧化后獲得的初級臭氧化物(primary ozonide,POZ)中間體為探索不發生C-C鍵裂解條件下實現C-O鍵形成反應提供了新途徑。
        近日,美國得克薩斯農工大學的Andy A. Thomas教授團隊發展了一種安全、綠色的烯烴syn-雙羥基化反應(圖1d),即利用親核試劑捕獲O3與烯烴形成的POZ中間體進而生成所需的雙羥基化產物。此外,將該方法與連續流反應器結合后,不僅可以消除過氧化物的積累,而且還可以制備藥物相關小分子化合物,例如:Mucinex的活性成分愈創甘油醚(1)和治療多發性硬化癥的ponesimod前體(2)。相關成果發表在Nature Chemistry 上。
圖1. 烯烴臭氧分解的應用。圖片來源:Nat. Chem.
        盡管臭氧分解反應已被科學家研究了150多年,但其反應機理在某些方面仍尚不清楚。目前,普遍接受的Criegee機制涉及三種中間體(圖1a):POZ、Criegee中間體(CIN)和二級臭氧化物(secondary ozonide,SOZ)。為了理解化學結構和反應性之間的關系,化學家對三類中間體進行了許多機理研究,特別是關于Criegee中間體和SOZs形成的見解導致其在主流合成中的應用,而POZ因其壽命和反應性導致其不能作為合成中間體。為了更好地解析烯烴臭氧分解機理,化學家對POZ進行研究,結果表明POZ是通過syn-[3+2]環加成形成,同時動力學實驗表明其在低溫(小于或等于-100 ℃)下具有有限的壽命,但對這些中間體的基本反應模式卻研究很少。為此,作者使用低溫1H NMR光譜評估了烯烴幾何結構(如:trans-、末端和cis-烯烴衍生的POZ(1-3)中間體)對C-C鍵裂解速率的影響(圖2a),結果表明POZ在合成有用的溫度下具有有限的壽命(圖2b)。其次,作者對POZ的化學反應性進行了考察,即POZ是否會在C-C鍵裂解前被親核試劑在O-O鍵處捕獲。當使用乙醚為溶劑于-116℃(POZ不易裂解)下進行反應以實現烯烴的syn-二羥基化時,作者發現典型的過氧化物淬滅劑(如:二甲基硫醚、三苯基膦(Ph3P)、亞磷酸三乙酯((EtO)3P)和四甲基乙二胺)產生了典型的臭氧分解產物,而異丙基溴化鎂(i-PrMgBr)則能以中等至較好的產率獲得雙羥基化產物。
圖2. POZ反應性研究。圖片來源:Nat. Chem.
        在優條件下,作者對該反應的底物范圍進行了考察(圖3),結果顯示帶有吸電子和給電子基團的底物(3-5)對臭氧化或捕獲步驟幾乎沒有影響,以良好的產率獲得相應的syn-二醇。酯(6、7)也相對不受i-PrMgBr的影響,并且與POZ的反應性要比親核加成到羰基上更有利。此外,該反應還能兼容一系列trans-烯烴(3-6)、cis-烯烴(7-11)、末端烯烴(12-16),甚至還能耐受吡啶(13)和噻吩(15)等雜環化合物。盡管cis-衍生的POZ 3不能在-116 °C被捕獲,但其在-130 °C時被有效捕獲并以中等產率得到二醇10。值得一提的是,該方法還可實現藥物分子前體及其有價值化合物的合成,具體而言:1)捕獲POZ 2以40%的產率合成辛乙二醇(17,濕潤劑);2)制備其它藥物相關的二醇,包括:祛痰藥愈創甘油醚(1,產率:65%)和治療多發性硬化癥的ponesimod前體(2,產率:63%)。雖然這種syn-二羥基化策略對多種烯烴是可行的,但也存在一定的局限性,例如:二苯乙烯、吲哚和三取代烯烴都由于POZ的不穩定而發生典型的氧化裂解,或者發生競爭性的副氧化反應。此外,POZ在非常低的溫度下被證明是可行的合成中間體,但由于其不穩定性以及安全等問題嚴重阻礙其在大規模反應中的應用。
圖3. 底物拓展。圖片來源:Nat. Chem.
        盡管臭氧分解反應廣泛適用于醛、酮、酯、縮醛和syn-二醇的合成中,但該反應僅能在流動相中進行,在大規模工藝中的應用仍然十分受限。為此,作者通過設計一個連續流動反應器來捕獲-78 ℃的POZ,進而有效地清除過氧化物的積累以及拓展此策略在大規模工藝中的應用。此外,通過精確控制溶液停留時間來避免連續流動體系中過氧化物的形成。如圖4a所示,作者制備了O3的乙醚溶液來精確控制O3的當量,進而允許在均相溶液中形成POZ,隨后在下個工藝中用i-PrMgBr進行捕獲。具體而言:作者選擇祛痰藥愈創甘油醚1為模板底物來進行流動化學嘗試并優化反應條件,結果顯示在1.54 g h-1下以65%的產率獲得愈創甘油醚1 (圖4b)。類似地,作者還在1.7 g h-1下以51%的產率獲得ponesimod前體2。值得注意的是,cis-環辛烯也可兼容流動化學體系并以63%的產率獲得產物9;而cis-4-辛烯則以較低的產率(19%)得到二醇10,進一步展現出POZ在實際條件下可以作為合成前體來構建C-O鍵。
圖4. 流動化學中的臭氧分解。圖片來源:Nat. Chem.
總結
        Andy A. Thomas教授團隊發展了一例安全、綠色的烯烴syn-雙羥基化反應,即利用親核試劑捕獲O3與烯烴形成的POZ中間體進而生成雙羥基化產物。此外,將該方法與連續流反應器結合后,不僅可以消除過氧化物的積累,而且可以制備藥物相關小分子化合物。

與Nat. Chem.:臭氧參與的烯烴雙羥基化反應相關的實驗文章