Q-ACSM 對不同氧化態腔室生成 SOA 的敏感性研究
一、研究背景與目的
1. 有機氣溶膠(OA)的重要性與研究挑戰
?環境與健康影響:OA是大氣亞微米顆粒物的主要成分(占比20%-90%),可通過直接影響太陽輻射和間接影響云微物理過程改變氣候,還可能對人體健康產生不利影響,且中國霧霾事件在很大程度上由二次有機氣溶膠(SOA)驅動。
?測量難點:OA含無數化學物種,壽命短、在大氣中轉化快,傳統離線測量技術(如基于過濾器的GC/MS、LC/MS等分析)無法捕捉其動態變化,現有在線儀器(如PILS、OC/EC分析儀)也存在局限(如PILS僅能分析水溶性成分,OC/EC分析儀僅能量化總有機碳且信息有限)。
2. 研究目的
?全面探究使用四極桿氣溶膠化學 speciation 監測儀(Q-ACSM)量化SOA的準確性。
?分析Q-ACSM對不同氧化態SOA的敏感性,明確影響Q-ACSM靈敏度的因素(如相對電離效率RIE、收集效率CE),為Q-ACSM的校準和SOA準確測量提供依據。
二、實驗方法
1. 實驗裝置
(1)腔室設置(Chamber Setup)
?類型與規格:4.5m3可折疊常壓含氟聚合物(特氟龍)煙霧腔,尺寸為長1.8m、寬1.5m。
?清潔與準備:每次實驗前,用黑光燈UV燈照射并暴露于高濃度(幾ppmv)O?中清潔6小時以上,再用零空氣發生器(Acdco 737)產生的純空氣沖洗,直至腔內顆粒物濃度低于10個/cm3。
?混合與環境控制:腔室底部中心裝有特氟龍涂層風扇以快速混合反應物,溫度維持在20±1°C,相對濕度(RH)維持在10%-15%。
(2)SOA生成(SOA Generation)
?前體物與溶劑:選用α-蒎烯(Sigma-Aldrich,>98%)、異戊二烯(Sigma-Aldrich,>98%)、甲苯(Sigma-Aldrich)三種揮發性有機化合物(VOC),分別代表生物源和人為源VOC;將其溶解在環己烷(TEDIA Inc,HPLC級>99.5%)中。
?氧化劑與引發方式:
臭氧(O?):通過低壓汞燈照射純氧(O?)生成,使用時先向腔室注入OH自由基清除劑環己烷。
羥基自由基(OH):先注入少量自制亞硝酸甲酯,再打開腔室周圍黑光燈幾分鐘引發OH氧化反應。
?濃度控制:VOC前體物濃度設為大氣相關水平(α-蒎烯10-60ppbv、異戊二烯60-200ppbv、甲苯30-0ppbv),氧化劑濃度控制為O? 50-80ppbv、亞硝酸甲酯50-300μL,通過改變VOC前體物與氧化劑的比例實現不同SOA氧化態。
(3)Q-ACSM操作(Q-ACSM Operation)
?采樣參數:采樣間隔為8-15分鐘(取決于腔室內顆粒物質量濃度),采樣管為6.3mm外徑、0.8m長的不銹鋼管,采樣流量為1L/min(原1為3L/min,調整后可減少從腔室抽出的總氣體量)。
?校準:每次實驗前后,使用硝酸銨(NH?NO?)按照Ng等人(2011)的方法校準Q-ACSM對NO??的電離效率;實驗前利用氮(N)峰(m/z=28)和內標萘峰(m/z=128)進行質量校準,數據分析前校準Q-質譜儀的質量相關傳輸效率;計算測量的有機質量濃度時,采用默認的RIE值1.4和CE值0.5。
(4)氣溶膠質量測量(Aerosol Mass Measurement)
?掃描遷移率粒子粒徑譜儀(SMPS):由差分遷移率分析儀(DMA,TSI Model 3081)和冷凝粒子計數器(CPC,TSI Model 3776)組成,用于實時監測15nm-650nm顆粒物的數粒徑分布,假設顆粒物為球形推導氣溶膠體積濃度,時間分辨率為5分鐘。
?氣溶膠粒子質量分析儀(APM):Kanomax Model 3601型APM與DMA(TSI Model 3081)、CPC(TSI Model 3776)結合使用,確定顆粒物質量,再根據測量的遷移直徑計算顆粒物有效密度(DeCarlo等人,2004;McMurry等人,2002);每次實驗中,手動將APM分析的顆粒物直徑設為SMPS測量的顆粒物數粒徑分布峰值(因顆粒物在腔室內持續生長),一次DMA-APM掃描約需5分鐘,根據測量的顆粒物體積濃度和相應有效密度計算顆粒物質量濃度。
2. 實驗設計與數據處理
?實驗數量與持續時間:共進行14次獨立腔室實驗,每次實驗持續4-6小時,直至f44(m/z 44信號占總有機離子信號強度的比例)、有效密度和質量濃度達到相對穩定狀態;為研究CE對Q-ACSM靈敏度的影響,還進行了9次注入硫酸銨((NH?)?SO?)種子顆粒的腔室實驗。
?數據篩選與分析:僅使用相對穩定狀態下的數據進行線性相關分析以確定Q-ACSM的響應因子(RF);通過對比不同VOC/氧化劑比例下的實驗結果,分析SOA氧化態(用f44表示)對Q-ACSM檢測靈敏度的影響;在硫酸銨種子顆粒實驗中,根據SOA涂層前后Q-ACSM測量的硫酸鹽質量濃度變化推導SOA的CE。

(圖1)
三、實驗結果與討論
1. Q-ACSM響應因子的確定
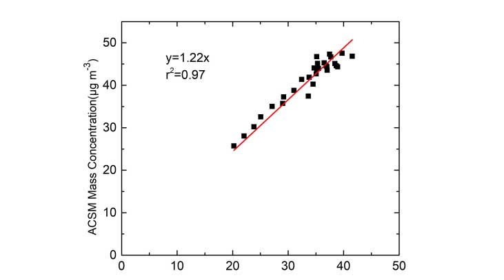
?典型實驗現象:以注入80ppbv O?和20ppbv α-蒎烯的實驗為例,注入后不久發生強烈成核事件,呈現典型“香蕉形”三維數粒徑分布圖;隨著臭氧化反應進行,氣溶膠粒徑和質量濃度快速增加(尤其在初始2小時內),氣溶膠有效密度也因顆粒物更致密且接近球形而增加;初始f44值較高,可能是由于初始生成的SOA因氣/粒分配而高度氧化(Shilling等人,2009a),后續f44在0.115-0.135間波動,表明?實驗期間氣溶膠氧化態變化不大;2-3小時后,氣溶膠達到相對穩定狀態,粒徑為80-100nm,質量濃度增至40-50μg/m3,有效密度約為1.2g/cm3,f44約為0.13,此時通過線性相關分析確定Q-ACSM的RF(圖3)。
實驗條件多樣性:實驗使用的VOC涵蓋生物源和人為源,包括α-蒎烯、異戊二烯和甲苯,除甲苯僅研究OH反應外,其余兩種VOC均研究了臭氧化和OH引發的氧化過程,且VOC前體物和氧化劑濃度均設為大氣相關水平,避免二次VOC氧化產物干擾。

(圖3)
2. f44的影響(SOA氧化態的影響)
?RF與f44的關系:對于每種VOC/氧化劑組合,通過改變VOC與氧化劑的相對濃度比進行多次實驗,發現生成的SOA特性(尤其Q-ACSM的RF)隨f44變化顯著,所有腔室生成的SOA的Q-ACSM RF隨f44增加呈線性下降(圖5a)。
?有效密度與f44的關系:所有腔室生成的SOA有效密度在1.09-1.36g/cm3之間,比Zelenyuk等人(2008)報道的生物源SOA有效密度(1.22-1.28g/cm3)和Kiendler-Scharr等人(2009)報道的(1.3±0.1g/cm3)范圍更廣;且SOA有效密度隨f44增加呈線性增加(圖5b),這可能是因為氧化劑越多,生成的高氧化產物越多,形成的SOA更致密。
?結論與啟示:大氣SOA的氧化態和有效密度可能因不同環境氧化條件而顯著變化,并在老化過程的不同階段動態變化,因此使用恒定轉換因子的Q-ACSM量化環境OA可能導致氣溶膠質量濃度的顯著誤差,需用實驗室生成的、來自不同VOC前體物且在不同大氣相關反應條件下的氣溶膠對Q-ACSM的OA響應因子進行系統校準;Q-ACSM對OA的RF可表示為硝酸鹽的電離效率(IE???)、OA的相對電離效率(RIE???)和OA的收集效率(CE???)的乘積(RF=IE????RIE????CE???),IE???可在實驗前后校準且與OA特性無關,而RIE???和CE???可能隨OA樣品不同而變化,因此RF與f44的負相關可能由CE或RIE引起。

圖5
3. CE的影響(收集效率的影響)
?實驗設計與現象:通過注入硫酸銨(AS)種子顆粒的腔室實驗研究CE對RF與f44負相關的貢獻,與之前實驗不同,在生成SOA前向腔室注入霧化的干燥AS種子顆粒,氣相產物會凝結在AS種子表面而非引發新顆粒形成;完全被SOA包覆后,Q-ACSM測量的硫酸鹽質量濃度會因CE???2?變化而變化,進而可推導SOA材料的CE;典型實驗中,初始注入AS種子氣溶膠時,ACSM測量的硫酸鹽質量濃度約為35μg/m3,注入VOC前體物后,ACSM測量的硫酸鹽快速增至約50μg/m3,且SOA持續生成過程中f44變化不大,可據此評估特定f44下的CE(圖6)。
?CE的影響因素:CE的絕對值準確性依賴于CE???2?和RIE???2?,CE隨RH變化(Matthew等人,2008),本實驗中RH<15%時CE測量值為0.28;采用其他研究(Canagaratna等人,2007;Ng等人,2011;Petit等人,2015)建議的RIE???2?值1.15,雖近期研究表明RIE可能因儀器而異(Budisulistiorini等人,2014;Crenn等人,2015),但本研究僅關注硫酸鹽濃度的相對變化,不影響結論;CE???受SOA涂層厚度影響(圖7),涂層厚度決定SOA包覆AS顆粒的混合狀態:當涂層材料不足以完全覆蓋種子顆粒時,種子核心可能直接撞擊收集表面,表現為AS顆粒特性;當添加大量VOC前體物(極端條件實驗,圖7中紅點),AS氣溶膠被SOA完全覆蓋,表現為純SOA特性,CE接近1(約0.97),此時SOA可能呈“粘性”液態,但因與負載相關的氣-粒分配(Shilling等人,2009b),無法獲得更高f44值,難以通過實驗解決f44對CE的影響;當涂層厚度足以覆蓋AS核心時(圖7中淺藍色點),CE隨f44增加從1降至約0.5,但仍存在CE值是AS核心和有機殼層共同作用結果的可能性。
?與現有研究的對比:基于腔室實驗(Kiendler-Scharr等人,2009)和亞馬遜地區的野外測量(Allan等人,2014;Chen等人,2009),生物源SOA的CE被認為接近1(此時氣溶膠以液態SOA為主);但近期理論、腔室和野外研究表明,在環境溫度下,有機顆??赡艹拾牍虘B或固態而非液態(Shiraiwa等人,2011;Vaden等人,2010;Virtanen等人,2010),與本實驗中高氧化態SOA CE降低的結果一致。
?SOA相變與CE的關聯:環境條件下VOC的氧化產物主要為羰基化合物和羧酸(Finlayson-Pitts和Pitts,1999),其飽和蒸氣壓隨氧化程度增加而降低;隨著SOA氧化程度提高,在環境溫度下可能從液態逐漸轉變為固態,這與本實驗中高氧化態SOA有效密度更高的觀察結果一致;SOA從“粘性”液滴轉變為“彈跳”固體球時,表面性質發生顯著變化,可能導致CE發生較大變化;基于玻璃化轉變溫度(T?)的顆粒形態研究表明,氧化過程中SOA顆粒會從液態變為半固態,變為固態或玻璃態(Koop等人,2011),這是分子量和O/C比共同增加的結果;此前研究也表明,CE因顆?;瘜W組成、相態和RH不同而變化,范圍在0.2-1之間(Alfarra,2004;Docherty等人,2013)。

4. RIE的影響(相對電離效率的影響)
?RIE的計算與特性:特定分子的RIE可通過公式計算(Canagaratna等人,2007;Jimenez等人,2003),其中RIEs為特定有機分子S的相對電離效率,IEs和MWs分別為S的電離效率和分子量;理論上,IEs與分子的電子碰撞電離截面σ直接相關,而σ與分子中的電子數線性相關,電子數又大致與分子量成正比,因此結構和官能團相似的分子的RIEs相似。
?RIE與SOA氧化態的關系:烴類和含氧化合物的RIEs不同(因氧含量差異顯著)(Canagaratna等人,2007),范圍從小于1到大于3(Dzepina等人,2007;Jimenez等人,2016;Slowik等人,2004);隨著SOA氧化態增加(O/C比升高),SOA從類烴OA(HOA)向高氧化OA(OOA)轉變,含氧量增加,RIE可能顯著降低,因此RF與f44的負相關也可能與氧含量相關的不同RIEs有關。
四、結論
1. Q-ACSM靈敏度與SOA氧化態的關系:無論VOC前體物類型如何,Q-ACSM對腔室生成的不同氧化態SOA的敏感性均與SOA氧化態(用f44表示)呈負相關,即SOA氧化程度越高,Q-ACSM的響應因子(RF)越低。
2. 傳統校準方法的局限性:使用恒定轉換因子的Q-ACSM量化環境OA可能導致氣溶膠質量濃度的顯著誤差;早期基于SMPS測量的質量濃度進行AMS校準也可能存在較大誤差,因為不同氧化態SOA的有效密度變化顯著。
3. 影響Q-ACSM靈敏度的關鍵因素:
收集效率(CE):低氧化態SOA基本呈液態,CE接近1;隨著O/C比增加,SOA逐漸從液態轉變為半固態,變為固態/玻璃態,CE降至0.2-0.5。
相對電離效率(RIE):有機物的RIE從類烴化合物到含氧化合物顯著降低,O/C比進一步增加時,RIE僅以較慢速率繼續降低;RF與O/C比的負相關是CE和RIE共同作用的結果。
4. 校準改進建議:Q-ACSM對OA的RF需用實驗室生成的、來自不同VOC前體物且在不同大氣相關反應條件下的氣溶膠進行系統校準;傳統方法校準的Q-ACSM可能低估OOA含量而高估HOA含量,因此對HOA和OOA應采用不同的RIE值。