臭氧+粉末活性炭催化劑處理含吡啶廢水實驗
2010 年,中國已經成為世界上很大的制造國]。工業的快速發展引發了嚴重的環境問題, 2018 年,中國地表水中仍有29. 0%的水體在IV 類以下]。吡啶廣泛應用于工業生產的各個行業是一類具有較大危害性的物質。臭氧作為一種強氧化劑,常用于污水處理當中。然而,吡啶吸電子特性較強,具有抗臭氧化作用。另外,臭氧分子的水溶性較差,利用率低,運行成本高。通過向臭氧體系中投加催化劑,催化臭氧產生·OH 可以解決這些問題。粉末活性炭的催化效果好,但在水中不易分離,通過在其上負載磁性物質,可以很好的實現催化劑的分離回收。文章采用堿性共沉淀法制備了磁性活性炭作為臭氧催化劑,對于含吡啶廢水的處理以及實現催化劑的回收具有重要的意義。
1.材料與方法
1.1 儀器與試劑
臭氧發生器 ;分光光度計 ; 離心機; 恒溫加熱磁力攪拌器; 數顯鼓風干燥箱; 超高效液相色譜 ; 掃描電鏡 ; TOC 測定儀 ; X 射線粉末衍射儀,FeSO4·7H2O、FeCl3·6H2O、NaOH、吡啶、濃鹽酸、濃硝酸、叔丁醇、無水亞硫酸鈉,以上試劑均為分析純試劑。實驗用水為超純水,粉末活性炭。
1.2 實驗方案及反應裝置
1.2.1 磁性活性炭的制備
本實驗采用堿性共沉淀法在粉末活性炭上負載
四氧化三鐵,制備磁性活性炭,具體方法如下:首先,篩分出180 ~ 300 目的粉末活性炭,然后用超純水洗去活性炭表面的粉塵,之后放入稀釋20倍的鹽酸∶硝酸= 3∶1( 體積比) 溶液中,并對溶液施加超聲1 小時。之后用超純水沖洗粉末活性炭,洗至上清液呈中性,置活性炭于104℃烘干,備用。稱取1. 39 g FeSO4 ·7H2O 與2. 70 g FeCl3 ·6H2O 置于250 mL 的燒杯中,倒入150 mL 超純水配置Fe3 +∶Fe2 + = 2∶1 的混合溶液,加入1. 46 g 預處理后的粉末活性炭,快速攪拌30 min,使溶液混合均勻。然后,使用恒溫水浴鍋控制混合溶液溫度為70℃并攪拌,同時逐滴將50 ml 的2M 氫氧化鈉溶液快速滴入混合液中,反應時間為1 h。反應完成后,用超純水清洗復合材料,洗至上清液呈中性,將得到的沉淀在烘箱中于60℃烘干,作為磁性活性炭催化劑備用。
1.2.2 臭氧水的制備
在密封的容器中倒入超純水,通過鈦合金曝氣頭不斷曝入臭氧。將容器放入水浴磁力攪拌器中,控制水浴溫度至6℃以下,以提高臭氧的溶解度,不斷攪拌水溶液,提高臭氧溶解效率。在曝氣過程中,通過分光光度法不斷測定臭氧水的濃度,當測定的臭氧水濃度達到實驗進行所需要的濃度時停止曝氣,立即進行催化臭氧氧化實驗。
1.2.3 催化臭氧氧化降解吡啶實驗
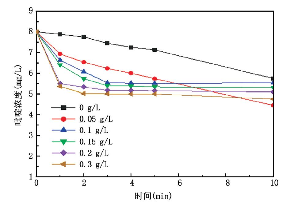
將制備的臭氧水取500 mL 置于燒杯中,加入所需質量的吡啶與磁性活性炭,通過攪拌槳不斷攪拌。按照要求在0 min、1 min、2 min、3 min、4 min、5 min、10min 時取樣,把取得的樣品通過0. 45 微米的聚醚砜濾膜過濾去除催化劑,為了終止臭氧反應,再滴入一定量的亞硫酸鈉溶液,得到的溶液作為待測樣品保存。
1.3 催化劑的表征方法
通過XRD 分析,判斷活性炭負載的磁性物質的晶體結構; 通過掃描電鏡分析,判斷活性炭負載前后表面結構的變化; 通過FTIR 分析,得到活性炭表面官能團的變化。
1.4 吡啶濃度測定方法
本實驗采用高效液相色譜法來檢測吡啶的濃度,本實驗中應用的是安捷倫液相色譜,色譜柱為C18 色譜柱,色譜儀的流動相采用的是乙腈和水,比例為40∶60,流動相的流量設定為0. 2 mL /min,檢測器波長為254 nm。
1.5 臭氧水濃度測定
臭氧水濃度測定: 通過紫外分光光度法檢測臭氧水的濃度,取一定體積的臭氧水注入1 cm 的比色皿中,分光光度計的波長設定為260 nm,測定臭氧水的吸光度,根據郎伯- 比爾定律計算臭氧濃度,計算公式如( 1) :
2.結論

文章以粉末活性炭為載體,通過堿性共沉淀法制備了磁性活性炭。通過XRD 和掃描電鏡對粉末活性炭和磁性活性炭進行表征,證明活性炭上成功地負載上了四氧化三鐵。以磁性活性炭為催化劑,催化臭氧降解吡啶,提高了吡啶的去除效果。向催化體系中投加叔丁醇,發現吡啶去除效果降低,說明催化體系中有·OH 的生成。對反應過程中的TOC 進行了測定,發現單獨臭氧化體系對TOC 基本沒有去除,而催化體系中TOC 的去除率可以達到17. 45%,說明·OH 可以提高吡啶的礦化度。通過沉淀實驗發現磁性活性炭具有良好的磁分離性能。
曹一豐,陳志強,溫沁雪
( 哈爾濱工業大學環境學院城市水資源與水環境國家重點實驗室,黑龍江哈爾濱150090)